Skip to content Skip to sidebar Skip to footer

New Rhetorical Essay Examples The Latest

New Rhetorical Essay Examples
The Latest
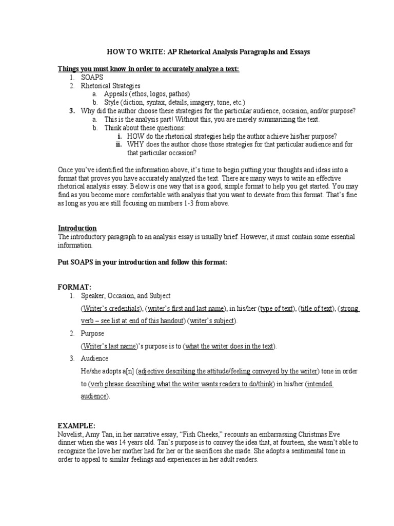
. How to write a rhetorical analysis essay: If you are drafting a rhetorical analysis essay, it is essential to first go through a couple of examples.

004 Rhetorical Analysis Sample Essays Essay Outline Topics ...
004 Rhetorical Analysis Sample Essays Essay Outline Topics ... from www.thatsnotus.com
The rhetorical analysis essay required utilizing ordinary statements and curious phrases. They also help a writer to compose an essay just like professionals. View and download rhetorical analysis essays examples.

Take a look at our rhetorical analysis essay example, which was written by one of our.

Understanding what the rhetorical one example of a prompt from an ap english language rhetorical essay is this one from the 2008 exam. 25 best rhetorical analysis topics for essay brainstorming. Examples help the readers to understand things in a better way. Although there are many rhetorical analysis essay example options you can follow when working on your essay, it is advisable to carefully reflect on their structures before embarking on the writing.


Post a Comment for "New Rhetorical Essay Examples The Latest"